IOC-UNESCO Toxins database

Welcome to the IOC-UNESCO Toxins database. This database contains reference information about toxins - some of which are associated with Harmful Algal Events.

Recent Toxins

Okadaic acid

10 Toxins

Palytoxin
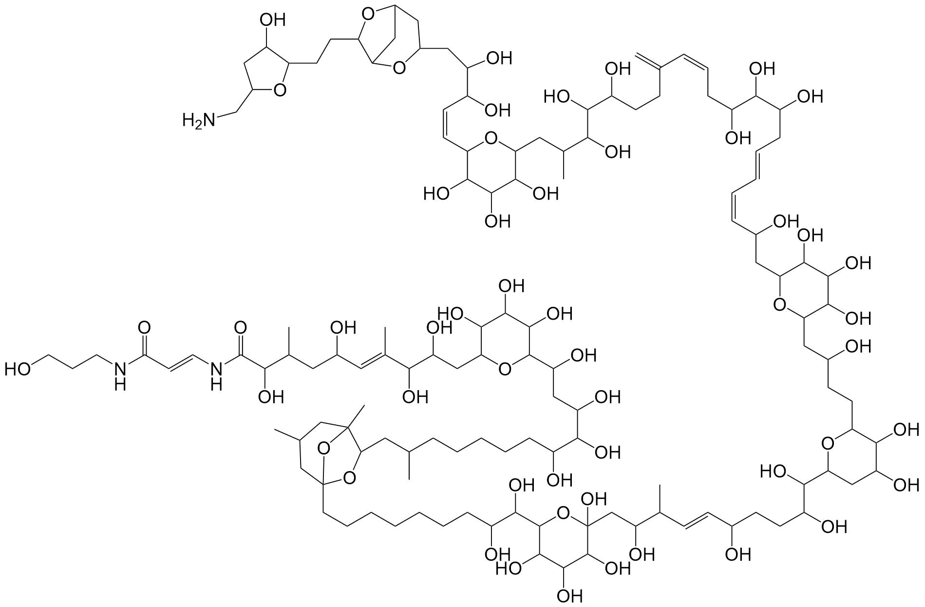
Ovatoxin-a

C129H223N3O52

Palytoxin
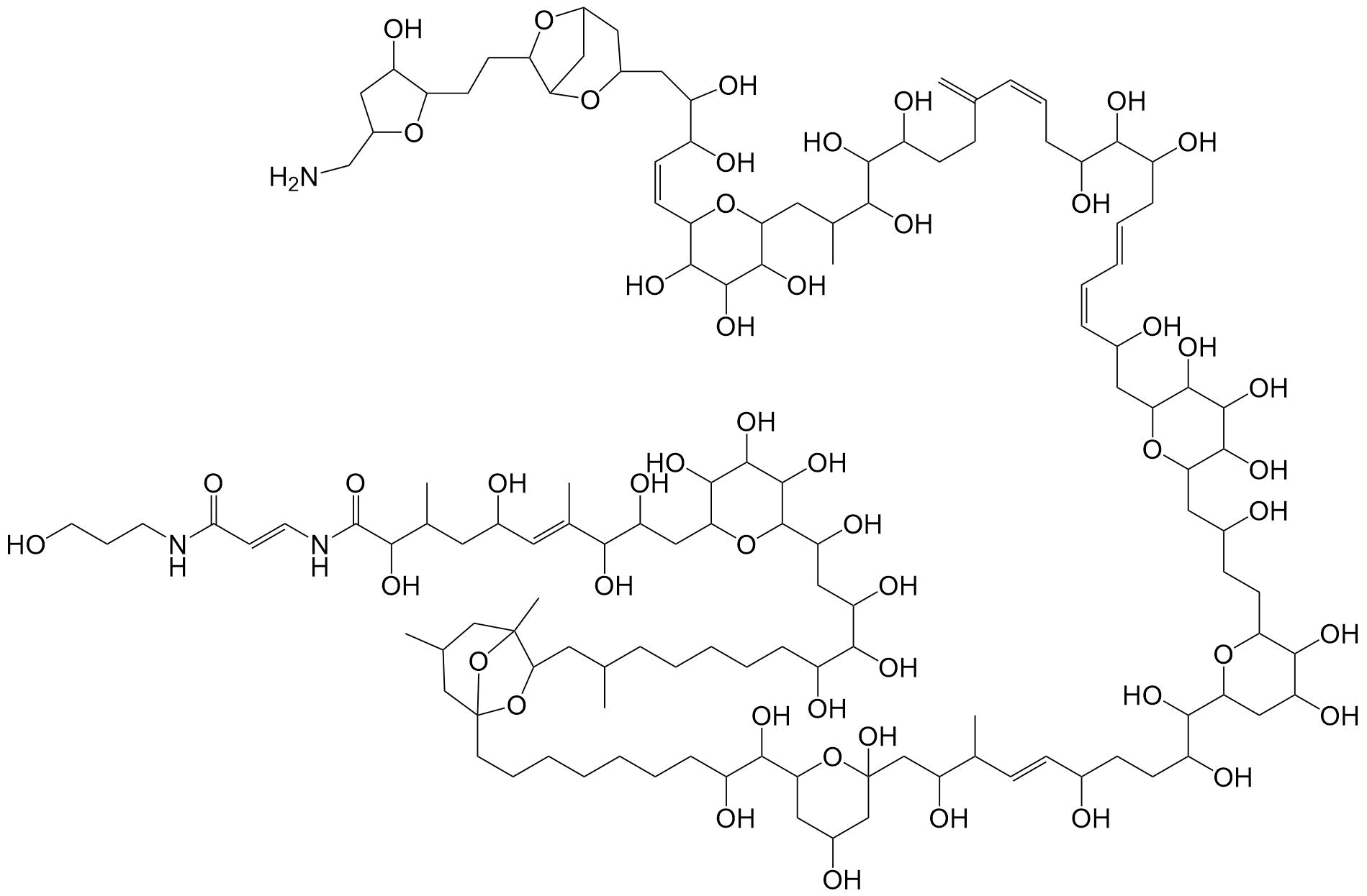
Ovatoxin-b

C131H227N3O53

Palytoxin
Ovatoxin-c

C131H227N3O54

Palytoxin
Ovatoxin-d

C129H223N3O53

Palytoxin
Ovatoxin-e

C129H223N3O53

Palytoxin
Ovatoxin-f

C131H227N3O52

Palytoxin
Ovatoxin-g

C129H223N3O51

Palytoxin
Ovatoxin-h

C129H225N3O51

Palytoxin
Palytoxin

C129H223N3O54

Palytoxin

11 Toxins

Pectenotoxin

14 Toxins

Pectenotoxin
Pectenotoxin-1
Pectenotoxin
Pectenotoxin-11
Pectenotoxin
Pectenotoxin-11b
Pectenotoxin
Pectenotoxin-11c
Pectenotoxin
Pectenotoxin-13
Pectenotoxin
Pectenotoxin-2
Pectenotoxin
Pectenotoxin-2b
Pectenotoxin
Pectenotoxin-2c
Pectenotoxin
Pectenotoxin-3