IOC-UNESCO Toxins database

Welcome to the IOC-UNESCO Toxins database. This database contains reference information about toxins - some of which are associated with Harmful Algal Events.

Recent Toxins

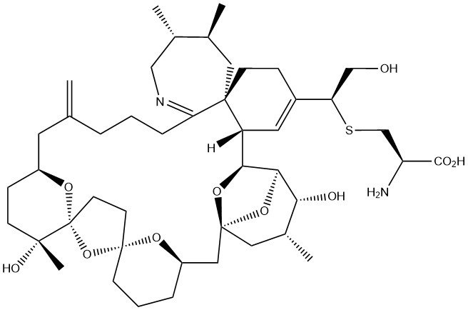
Microcystin
[D-Asp3,Dha7]Microcystin-E(OMe)E(OMe)
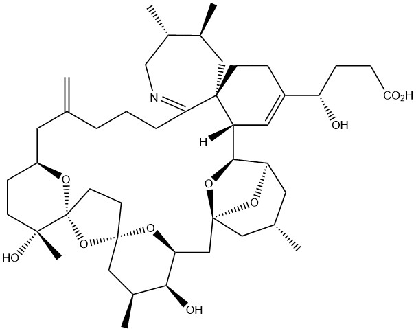
Microcystin
[D-Asp3,Dha7]Microcystin-EE(OMe)
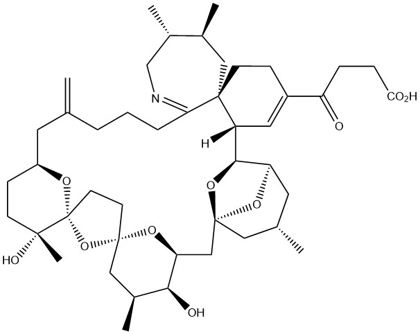
Microcystin
[D-Asp3,Dha7]Microcystin-HtyR
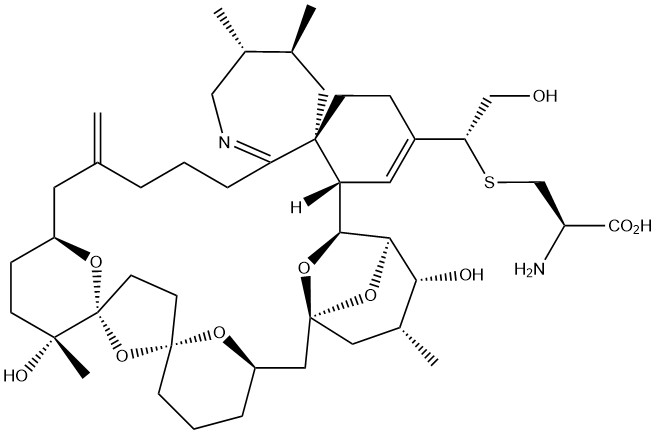
Microcystin
[D-Asp3,Dha7]Microcystin-LR
Microcystin
[D-Asp3,Dha7]Microcystin-LY
Microcystin
[D-Asp3,Dha7]Microcystin-RR
Microcystin
[D-Asp3,Dha7]Microcystin-RY
Microcystin
[D-Asp3,Dha7]Microcystin-YA
Microcystin
[D-Asp3,Dhb7]Microcystin-AhaR
Microcystin
[D-Asp3,Dhb7]Microcystin-HtyR
Microcystin
[D-Asp3,Dhb7]Microcystin-LY
Microcystin
[D-Asp3,Dhb7]Microcystin-RY
Microcystin
[D-Asp3,MSer7]Microcystin-LR
Microcystin
[D-Asp3,MSer7]Microcystin-LY
Microcystin
[D-Asp3,MSer7]Microcystin-RY
Microcystin
[D-Asp3,Mdha-GSH7]Microcystin-RR
Microcystin
[D-Asp3,Mser7]Microcystin-HtyR
Microcystin
[D-Asp3,NMSer7]Microcystin-YHar
Microcystin
[D-Asp3,Ser7]Microcystin-E(OMe)E(OMe)
Microcystin
[D-Asp3,Ser7]Microcystin-LR
Microcystin
[D-Asp3,Ser7]Microcystin-RR